ECAT Pre Engineering Mathematic MCQ Test With Answer for Chapter 15 (Inverse Trigonometric Functions)

MCQ's Test For ECAT (Pre-Eng) Mathematics Chapter 15 Inverse Trigonometric Functions

Try The MCQ's Test For ECAT (Pre-Eng) Mathematics Chapter 15 Inverse Trigonometric Functions

  • Total Questions30

  • Time Allowed30

ECAT (Pre-Eng) Mathematics Chapter 15 Inverse Trigonometric Functions

00:00
Question # 1

Question Image
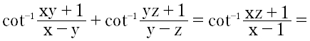
Question # 2

Question Image
Question # 3

Question Image
Question # 4

Question Image
Question # 5

The range of the principal sine function is

Question # 6

Question Image
Question # 7

Tan-11/x = ______

Question # 8

Question Image
Question # 9

Question Image
Question # 10

Question Image
Question # 11

The Principal value of sin-1 (-1/1/2)

Question # 12

Question Image
Question # 13

Question Image
Question # 14

The range of the principle cos function is

Question # 15

Question Image
Question # 16

Question Image
Question # 17

Question Image
Question # 18

Sec-1x =

Question # 19

Question Image
Question # 20

If cos (2 sin-1 x) = 1/9 , then what is the value of x?

Question # 21

Question Image
Question # 22

sin (sin-1(1/2))=

Question # 23

sin -1(sin2π/3) =

Question # 24

Question Image
Question # 25

Question Image
Question # 26

Question Image
Question # 27

sin-1[-1/2] = ______

Question # 28

What is the value of cos (cos-1 2) ?

Question # 29

In the interval 0≤ x ≤ π, the sine is

Question # 30

Question Image

Prepare Complete Set Wise ECAT (Pre-Eng) Mathematics Chapter 15 Inverse Trigonometric Functions MCQs Online With Answers


Top Scorers Of ECAT (Pre-Eng) Mathematics Chapter 15 Inverse Trigonometric Functions MCQ`s Test

  • H
    Huzaifa Asim 02 - Jun - 2024 02 Min 02 Sec 95/120
  • T
    Tamshi Sohail 27 - Apr - 2024 12 Min 13 Sec 90/120
  • D
    DOT 3B 03 - Mar - 2024 13 Min 01 Sec 85/120
  • M
    mahreen toor 08 - Mar - 2024 22 Min 18 Sec 85/120
  • L
    Laiba Siddiquee 29 - Feb - 2024 08 Min 12 Sec 70/120
  • A
    amara ishaq 19 - May - 2024 19 Min 14 Sec 70/120
  • M
    mashaium khan 02 - Sep - 2023 25 Min 27 Sec 70/120
  • J
    Jibran Saqib 01 - Feb - 2024 11 Min 21 Sec 60/120
  • M
    Muhammad Mansha 13 - May - 2024 04 Min 37 Sec 55/120
  • M
    Muntasir Khokhar 17 - May - 2024 12 Min 48 Sec 50/120
  • M
    Muhammad Abuzar 29 - May - 2024 13 Min 39 Sec 50/120
  • D
    Daim Ali 01 - Dec - 2023 06 Min 41 Sec 45/120
  • Z
    ZIA SHAHID 30 - Apr - 2023 11 Min 08 Sec 45/120
  • S
    Syed aazan hussain 20 - Jul - 2023 25 Min 03 Sec 45/120
  • A
    Asad Tariq 25 - Jan - 2024 22 Min 06 Sec 40/120
Sr.# Question Answer
1 Sin -1 x=
A. sin(π/2-x)
B. Sin-1 (π/2-x)
C. π/2-cos-1x
D. π/2 + cos-1x
2 If 2 tan1(cos x) = tan-1(cosec2x), then x is equal to
A. π/ 3
B. π/ 2
C. π/ 6
D. π
3
Question Image
A. 1
B. -1
C. 0
D. None of these
4
Question Image
A. Choice 1
B. Choice 2
C. Choice 3
D. Choice 4
5
Question Image
A. π/ 2
B. π/ 3
C. π/ 4
D. π
6
Question Image
A. π / 3
B. π / 4
C. π / 6
D. 0
7 The range of the principal sine function is
A. Choice 1
B. Choice 2
C. Choice 3
D. Choice 4
8
Question Image
A. 16 / 7
B. 6 / 17
C. 7 / 16
D. None of these
9
Question Image
A. Choice 1
B. Choice 2
C. Choice 3
D. Choice 4
10
Question Image
A. Choice 1
B. Choice 2
C. Choice 3
D. Choice 4
11 The value of cos(cos-1 1/2) is
A. 1/2
B. √3/2
C. -1/2
D. 1/√2
12 The number of triplets (x, y, z) satisfying sin-1x +cos-1y + sin-1z = 2π is
A. 0
B. 2
C. 1
D. Infinite
13
Question Image
A. Choice 1
B. Choice 2
C. Choice 3
D. Choice 4
14 tan-1(1/4) + tan-1(2/9) is equal to
A. 1/2 cos-1(3/5)
B. 1/2 sin-1(3/5)
C. 1/2 tan-1(3/5)
D. tan-11/2
15
Question Image
A. 20
B. 10
C. 0
D. None of these
16 If cos (2 sin-1 x) = 1/9 , then what is the value of x?
A. 1/3
B. -2/3
C. 2/3
D. 2/3 , -2/3
17
Question Image
A. Choice 1
B. Choice 2
C. Choice 3
D. Choice 4
18 cos-1(cos x) =
A. x
B. cos x
C. x = 1/x
D. cos-2 x
19
Question Image
A. π / 3
B. π / 4
C. π / 2
D. π
20
Question Image
A. Choice 1
B. Choice 2
C. Choice 3
D. Choice 4
21 The value of sin [ arc cos (-1/2)] is
A. Choice 1
B. Choice 2
C. Choice 3
D. Choice 4
22 The exact degree value of the function sin-1( -√3/2) is
A. 70ο
B. 50ο
C. 90ο
D. 60ο
23 Tan-11/x = ______
A. sin x
B. sec-1X
C. cot-1X
D. None of these
24
Question Image
A. Choice 1
B. Choice 2
C. Choice 3
D. Choice 4
25 sin (sin-1(1/2))=
A. 0
B. 2
C. ∞
D. 1/2
26 The principal value of sin-1 (-1/2)
A. π/3
B. π/4
C. π/6
D. -π/6
27 The Principal value of sin-1 (-1/1/2)
A.

π/2

B.

-π/2

C.

π

D.

28 The value of sin-1 5/13 is equal to
A. Cos 5/13
B. Tan-1 5/12
C. cos-15/12
D. 2 cos-1 4/5
29 sin -1(sin2π/3) =
A. π/2
B. 2π/3
C. -3π/2
D. π/3
30
Question Image
A. Choice 1
B. Choice 2
C. Choice 3
D. Choice 4

Test Questions

Is this page helpful?