ECAT Pre Engineering Test Preparation Online for Pakistani Students

ECAT Pre Engineering Entry Test

Try The ECAT Pre Engineering Entry Test

  • Total Questions30

  • Time Allowed30

ECAT Pre Engineering Entry Test

00:00
Question # 1

Question Image
Question # 2

Question Image
Question # 3

Question Image
Question # 4

Question Image
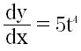
Question # 5

Question Image
Question # 6

The parametric equations of a circle are

Question # 7

The set of rational number is represented by

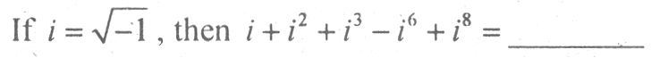
Question # 8

If z=(x,y) then z has no multiplicative inverse when

Question # 9

Which of the following is skew symmetric matrix

Question # 10

The directrix of y2 =-4ax is

Question # 11

Question Image
Question # 12

Find the next two terms of 7, 9, 12, 16,...

Question # 13

Question Image
Question # 14

Tan(α-β)=

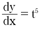
Question # 15

Question Image
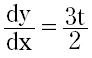
Question # 16

Question Image
Question # 17

The expansion of (1 - 3x)-1is valid if

Question # 18

Question Image
Question # 19

For every positive integers n 1+5+9+....+ (4n - 3) is

Question # 20

Question Image
Question # 21

cos(π/2-θ) = ________;

Question # 22

If x, y, z are the pth, qth, rth terms of an A.P. and also of G.P., then xy-z. yz-x. zx-yeqals

Question # 23

πis the period of the function

Question # 24

The parametric equation of a curve are x = t2, y = t3then

Question # 25

Shifting origin to (1,-2), the new coordinates of (4,5) are:

Question # 26

A vertical pole is 8m high and the length of its shadow is 6m. The angle of elevation of the sun of the moment is

Question # 27

p(x) = 2x4- 3x3+ 2x - 1 is polynomial of degree

Question # 28

Question Image
Question # 29

Question Image
Question # 30

Question Image

ECAT Pre Engineering Entry Test
Here you can prepare ECAT Pre Engineering Entry Test. Click the button for ECAT Pre Engineering 100% free full practice test.

Here is List Of Chapter Wise Tests

Ch. # Test Name MCQs Available PDF File Launch Test
1 Mathematics ECAT Pre Engineering Chapter 1 Number System Online Test 299 Download PDF Launch Test
2 Mathematics ECAT Pre Engineering Chapter 2 Set, Functions and Groups Online Test 250 Download PDF Launch Test
3 Mathematics ECAT Pre Engineering Chapter 3 Logic Online Test 52 Download PDF Launch Test
4 Mathematics ECAT Pre Engineering Chapter 4 Functions and Groups Online Test 54 Download PDF Launch Test
4 Mathematics ECAT Pre Engineering Chapter 6 Quadratic Equations Online Test 173 Download PDF Launch Test
5 Mathematics ECAT Pre Engineering Chapter 5 Matrices and Determinants Online Test 170 Download PDF Launch Test
7 Mathematics ECAT Pre Engineering Chapter 7 Partial Fractions Online Test 56 Download PDF Launch Test
8 Mathematics ECAT Pre Engineering Chapter 8 Sequences and Series Online Test 157 Download PDF Launch Test
9 Mathematics ECAT Pre Engineering Chapter 9 Permutation, Combination and Probability Online Test 153 Download PDF Launch Test
10 Mathematics ECAT Pre Engineering Chapter 10 Mathematical Inductions Online Test 126 Download PDF Launch Test
11 Mathematics ECAT Pre Engineering Chapter 11 Binomial Theorem Online Test 30 Download PDF Launch Test
12 Mathematics ECAT Pre Engineering Chapter 12 Trigonometric Functions and Identities Online Test 121 Download PDF Launch Test
13 Mathematics ECAT Pre Engineering Chapter 13 Trigonometric Functions and their Graphs Online Test 79 Download PDF Launch Test
14 Mathematics ECAT Pre Engineering Chapter 14 Application of Trigonometry Online Test 94 Download PDF Launch Test
15 Mathematics ECAT Pre Engineering Chapter 15 Inverse Trigonometric Functions Online Test 101 Download PDF Launch Test
16 Mathematics ECAT Pre Engineering Chapter 16 Solution of Trigonometric Equations Online Test 56 Download PDF Launch Test
17 Mathematics ECAT Pre Engineering Chapter 17 Functions and Limits Online Test 168 Download PDF Launch Test
0 Mathematics ECAT Pre Engineering Chapter 18 Analytic Geometry Online Test 138 Download PDF Launch Test
18 Mathematics ECAT Pre Engineering Chapter 18 Basic Concepts & Definitions Online Test 60 Download PDF Launch Test
19 Mathematics ECAT Pre Engineering Chapter 19 Integration Online Test 133 Download PDF Launch Test
0 Mathematics ECAT Pre Engineering Chapter 20 Conic Section Online Test 202 Download PDF Launch Test
21 Mathematics ECAT Pre Engineering Chapter 21 Linear Inequalities and Linear Programming Online Test 73 Download PDF Launch Test
22 Mathematics ECAT Pre Engineering Chapter 22 Circle Online Test 30 Download PDF Launch Test
24 Mathematics ECAT Pre Engineering Chapter 24 Vectors Online Test 121 Download PDF Launch Test

Top Scorers of ECAT Pre Engineering Entry Test

  • A
    Aqsa Noreen Queen 11 - Dec - 2024 13 Min 56 Sec 400/400
  • M
    Malik Ahmad 17 - Dec - 2024 07 Min 05 Sec 355/400
  • A
    Ahazz Khan 20 - Dec - 2024 57 Min 00 Sec 225/400
  • M
    Muhammad Shahid 09 - Dec - 2024 49 Min 09 Sec 165/400
  • S
    Sehrish anjum 10 - Jan - 2025 69 Min 58 Sec 155/400
  • A
    Ali Jamshaid 09 - Dec - 2024 22 Min 49 Sec 150/400
  • F
    Fiza Noor 20 - Dec - 2024 37 Min 54 Sec 150/400
  • M
    M-34 Ezza Nadeem 18 - Dec - 2024 49 Min 03 Sec 145/400
  • S
    Shahid Ali 21 - Dec - 2024 67 Min 36 Sec 140/400
  • M
    Mukhtar Hussain 04 - Jan - 2025 38 Min 47 Sec 125/400
  • I
    Inayat Soomro 12 - Dec - 2024 65 Min 28 Sec 120/400
  • A
    aghasaifullah aghasaifullah 18 - Dec - 2024 23 Min 14 Sec 105/400
  • M
    Muhammad Wasif Aleem 23 - Dec - 2024 74 Min 05 Sec 90/400
  • R
    Rai hassan Mehmood 13 - Jan - 2025 93 Min 37 Sec 90/400
  • B
    Bin_te_ Hameed 03 - Jan - 2025 12 Min 35 Sec 70/400

Test Questions

Is this page helpful?