2nd Year Mathematics Chapter 4 Online MCQ Test for 12th Class Mathematics Unit 4 (Introduction to Analytic Geometry)

This online test contains MCQs about following topics:

- Introduction
- Translation and Rotation of Axes
- Equations of Straight Lines
- Two and Three Straight Lines
- Angles Between Two Lines
- Homogeneous Equations-Second Degree in2 Variables

ICS Part 2 Mathematics Chapter 4 Online MCQ's Test

Start Chapter 4 Test

ICS Part 2 Mathematics Chapter Wise Online MCQ's Test

MCQ's Test For Chapter 0 "ICS Part 2 Mathematics Chapter 4 Test Online"

Try The MCQ's Test For Chapter 0 "ICS Part 2 Mathematics Chapter 4 Test Online"

  • Total Questions20

  • Time Allowed30

ICS Part 2 Mathematics Chapter 4 Test Online

00:00
Question # 1

The centroid of a triangle is a point that divides each median in the ratio:

Question # 2

Distance of the point (-3, 7) from x-axis is:

Question # 3

Equation of the line parallel to x + 3y - 9 = 0 is:

Question # 4

Infinite number of lines can pass through:

Question # 5

If the directed distances AP and PB have the opposite signs, i.e; p is beyond AB, then their ratio is negative and P is said to divide AB:

Question # 6

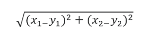
The distance between two points P1 (x1, y1) and P2 (x2, y2) on the co-ordinate plane is given by:

Question # 7

The line x = a is on the right of y - axis if:

Question # 8

Question Image
Question # 9

The horizontal line x' ox is called:

Question # 10

Inclination of X-axis or of any line parallel to X-axis is:

Question # 11

For any point (x, y) and y - axis:

Question # 12

The point (5, 8) lies the line 2x - 3y + 6 = 0

Question # 13

If the directed distances AP and PB have same signs, then their ratio is positive and P is said to divide AB:

Question # 14

Joint equation of y + 2x = 0, y - 3x = 0 is:

Question # 15

X-co-ordinate of centroid of triangle ABC with A(-2, 3); B(-4, 1); C(3, 5) equals:

Question # 16

The line y = c is above the x - axis, if:

Question # 17

x = c is a line:

Question # 18

The coordinate axes divide the plane into------------ equal parts:

Question # 19

y = -2 is a line:

Question # 20

The line l is horizontal if and only if slope is equal to:

Prepare Complete Set Wise Chapter 0 "ICS Part 2 Mathematics Chapter 4 Test Online" MCQs Online With Answers


4th Chapter

ICS Part 2 Mathematics Chapter 4 Online MCQ's Test

Top Scorers Of Chapter 0 "ICS Part 2 Mathematics Chapter 4 Test Online" MCQ`s Test

  • J
    Javaid Iqbal 28 - Jun - 2024 01 Min 13 Sec 20/20
  • A
    Aswa Naseer Aswa Naseer 10 - Sep - 2024 05 Min 33 Sec 18/20
  • I
    Irtaza 06 - Jul - 2024 12 Min 10 Sec 18/20
  • M
    Mahreen 12 - Jun - 2024 02 Min 00 Sec 17/20
  • F
    FAIZAN ALI ARSHAD 21 - Oct - 2024 11 Min 59 Sec 17/20
  • F
    Fatima Waseem 09 - Jul - 2024 12 Min 31 Sec 17/20
  • A
    Ali Hassan 06 - Dec - 2024 14 Min 15 Sec 17/20
  • S
    Sharjeel Anjum 04 - Jul - 2024 03 Min 26 Sec 15/20
  • M
    Muhammad Faheem 19 - Jun - 2024 04 Min 53 Sec 15/20
  • A
    Ashi Naeem 07 - Oct - 2024 03 Min 16 Sec 14/20
  • A
    Abdur Rafay Abbasi 23 - Jul - 2024 07 Min 28 Sec 14/20
  • A
    Adeel Rajpoot 20 - Dec - 2024 06 Min 28 Sec 13/20
  • A
    Anamta Jahangir 23 - Oct - 2024 02 Min 33 Sec 12/20
  • S
    Shabana Naeem 15 - Jan - 2025 06 Min 22 Sec 12/20
  • F
    Faisal Maqbool 24 - Oct - 2024 07 Min 41 Sec 12/20
Sr.# Question Answer
1 The point of intersection of the medians of a triangle is called:
A. Centroid
B. Ortho-center
C. Circums-center
D. In-center
2
Question Image
A. Choice 1
B. Choice 2
C. Choice 3
D. 2
3 For any point (x, y) on x-axis:
A. y = 1
B. y = 0
C. y = -1
D. y = 2
4 If (2, 1) is the mid point of the line segment joining the points (2, x) & (2, -5) then x =
A. 1
B. 2
C. 7
D. -7
5 A linear equation in two variables represents:
A. Circle
B. Ellipse
C. Hyberbola
D. Straight line
6 Equation of a line parallel to x-axis:
A. x = 0
B. x = y
C. y = a
D. x = a
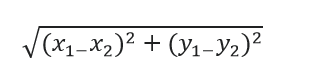
7 The distance of any point P (x, y) from the origin O(0 , 0) is given by:
A. Choice 1
B. Choice 2
C. Choice 3
D. Choice 4
8 If the directed distances AP and PB have same signs, then their ratio is positive and P is said to divide AB:
A. Internally
B. May be divide
C. Externally
D. None of these
9 The point of intersection of the perpendicular bisectors of a triangle is called:
A. Centroid
B. Ortho-center
C. Circums-center
D. In-center
10 In the translation of axes which formula is true:
A. x = X + h
B. X = x + h
C. x + X = h
D. None
11 A quadrilateral having two parallels and two non-parallel sides is called:
A. Trapezium
B. Rectangle
C. Rhombus
D. None of these
12 For any point (x, y) and y - axis:
A. y = 0
B. y = -1
C. y = 1
D. x = 0
13 The point (5, 8) lies the line 2x - 3y + 6 = 0
A. Above
B. Below
C. On
D. None
14 If the directed distances AP and PB have the opposite signs, i.e; p is beyond AB, then their ratio is negative and P is said to divide AB:
A. Internally
B. May divide
C. Externally
D. None of these
15 ax + by + c = 0, will represent equation of straight line parallel y-axis if:
A. a = 0
B. b = 0
C. c = 0
D. a = 0, c = 0
16 The pair of lines of homogeneous second-degree equation ax2 + 2hxy + by2 = 0 are real and coincident, if:
A. h2 < ab
B. h2> ab
C. h2= ab
D. None of these
17 y-coordinate of any point on X-axis:
A. 0
B. x
C. y
D. 1
18 X-co-ordinate of centroid of triangle ABC with A(-2, 3); B(-4, 1); C(3, 5) equals:
A. -1
B. 1
C. 3
D. -3
19 y = 2x + 3 is the;
A. Slope-intercept form
B. Two points form
C. Point slope form
D. Intercepts form
20 y - ordinate of the centroid of triangle with vertices A(-2, 3) B(-4, 1), C(3, 2) is:
A. 3
B. 1
C. 2
D. 0

Test Questions

Is this page helpful?