ECAT Pre General Science MCQ Test With Answer for Mathematics Chapter 18

MCQ's Test For ECAT Mathematics Chapter 18 Basic Concepts & Definitions

Try The MCQ's Test For ECAT Mathematics Chapter 18 Basic Concepts & Definitions

  • Total Questions30

  • Time Allowed30

ECAT Mathematics Chapter 18 Basic Concepts & Definitions

00:00
Question # 1

If x =1 -t2 and y =3t2 - 2t3 then dy/dx =

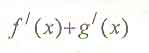
Question # 2

Question Image
Question # 3

If∱(x) = x5 + x3 + x the value of∱1(1) is:

Question # 4

If ∱(x) = x2/3then∱1(x) at x = 8 equals:

Question # 5

Let∫ be real valued function continuous in the interval (x,x1)⊆ D∫ (the domain of∫),
then∱(x1) -∱ (x)/x1-x represents:

Question # 6

Question Image
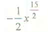
Question # 7

Question Image
Question # 8

Differentiation of sin x w.r.t. cot x is:

Question # 9

If f(x) = c then∱1(x) equals:

Question # 10

If c is a constant, then d/dx (c) =

Question # 11

If∱(x) = c then∱1 (x0 equals:

Question # 12

If 3x + 4y +7 = 0 , then dy / dx =

Question # 13

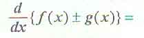
Question Image
Question # 14

Question Image
Question # 15

If∱(x) = 2x3 + 1 then∱1(0) =

Question # 16

Question Image
Question # 17

d/dx (cosec x)

Question # 18

Question Image
Question # 19

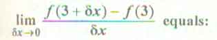
Question Image
Question # 20

Question Image
Question # 21

d/dx (cos x sin x) =

Question # 22

d / dx (cot x) =

Question # 23

Question Image
Question # 24

d/dx [tan2 x]

Question # 25

Question Image
Question # 26

If∱(x) = x-100the value of∱1 (1) is:

Question # 27

∱(x) = ax2-3x -5, and∱1 (2) = 9, a is equal to

Question # 28

Question Image
Question # 29

Question Image
Question # 30

The derivative of 1/xm is:

Prepare Complete Set Wise ECAT Mathematics Chapter 18 Basic Concepts & Definitions MCQs Online With Answers


Top Scorers Of ECAT Mathematics Chapter 18 Basic Concepts & Definitions MCQ`s Test

  • Z
    Zeeshan 20 - Jul - 2021 11 Min 09 Sec 90/120
  • S
    shahid Hussain 08 - Jun - 2022 10 Min 50 Sec 85/120
  • R
    Roman 20 - Jun - 2018 22 Min 08 Sec 80/120
  • M
    M.Bilal 17 - May - 2021 19 Min 27 Sec 75/120
  • F
    Faheem Ahmed 26 - Jan - 2019 20 Min 51 Sec 70/120
  • J
    Jahan Zaib 01 - May - 2022 10 Min 50 Sec 10/120
  • D
    Dada Ff 16 - May - 2022 00 Min 02 Sec 0/120
  • M
    M AQIB SHABBIR 04 - Jul - 2021 10 Min 50 Sec 0/120
Sr.# Question Answer
1
Question Image
A. Choice 1
B. Choice 2
C. Choice 3
D. Choice 4
2 If∱(x) = c then∱1 (x0 equals:
A. 1
B. 0
C. cx
D. c
3 ∱(x) = ax2-3x -5, and∱1 (2) = 9, a is equal to
A. 2
B. 3
C. -2
D. 4
4 If∱(x) = x-100the value of∱1 (1) is:
A. 100
B. -100
C. 0
D. -101
5
Question Image
A. Choice 1
B. xn-1
C. Choice 3
D. Choice 4
6 The derivative of 1/xm is:
A. xm+1/ m
B. m(x)m-1
C. (m-1) x-m
D. m/xm+1
7 if x∈ D∱ and∱1(x) exists, then∱ is said to be
A. zero at x
B. Differentiable at x
C. Continuous at x
D. None of these
8 d/dx [tan2 x]
A. 2tan x sec2 x
B. 2tan x sec x
C. 2 cot x tan x
D. 2sec2 x cos2 x
9
Question Image
A. 0
B. 8
C. 5
D. 9
10
Question Image
A. Choice 1
B. Choice 2
C. Choice 3
D. Choice 4
11 If∱(x) = 1/x-2 then∱1(0) equals:
A. -1/4
B. -3/2
C. -1/2
D. 1/5
12
Question Image
A. Choice 1
B. Choice 2
C. Choice 3
D. Choice 4
13
Question Image
A. Choice 1
B. Choice 2
C. Choice 3
D. Choice 4
14
Question Image
A. Choice 1
B. Choice 2
C. Choice 3
D. Choice 4
15
Question Image
A. Choice 1
B. Choice 2
C. Choice 3
D. Choice 4
16 If c is a constant, then d/dx (c) =
A. 0
B. c
C. cx
D. 1
17
Question Image
A. Choice 1
B. Choice 2
C. Choice 3
D. Choice 4
18 If∱(x) = x5 + x3 + x the value of∱1(1) is:
A. 0
B. 8
C. 5
D. 9
19
Question Image
A. Choice 1
B. Choice 2
C. Choice 3
D. Choice 4
20
Question Image
A. Choice 1
B. Choice 2
C. Choice 3
D. Choice 4
21
Question Image
A. Choice 1
B. Choice 2
C. Choice 3
D. Choice 4
22
Question Image
A. 100
B. -100
C. 0
D. -101
23
Question Image
A. zero at x
B. differentiable at x
C. continuous at x
D. none of these
24 If x2 + y2 = 1, then dy/dx
A. y/x
B. -x/y
C. 1/x
D. None of these
25
Question Image
A. Choice 1
B. Choice 2
C. Choice 3
D. Choice 4
26 if y=x2 then dy/dx equals:
A. 2x
B. x/2
C. 2x3
D. x3/2
27
Question Image
A. Choice 1
B. Choice 2
C. Choice 3
D. Choice 4
28 Let∫ be real valued function continuous in the interval (x,x1)⊆ D∫ (the domain of∫),
then∱(x1) -∱ (x)/x1-x represents:
A. Instantaneous rate
B. Average rate of change
C. Differential coefficient
D. None of these
29 Differentiation of sin x w.r.t. cot x is:
A. -sin2 x sec x
B. -cos x sin2 x
C. -cos2 x tan x
D. -sin2 x
30
Question Image
A. Choice 1
B. Choice 2
C. Choice 3
D. Choice 4

Test Questions

Is this page helpful?