Punjab Examination Commission (PEC) 8th Class Past Paper 2012 Math Subjective Urdu Medium

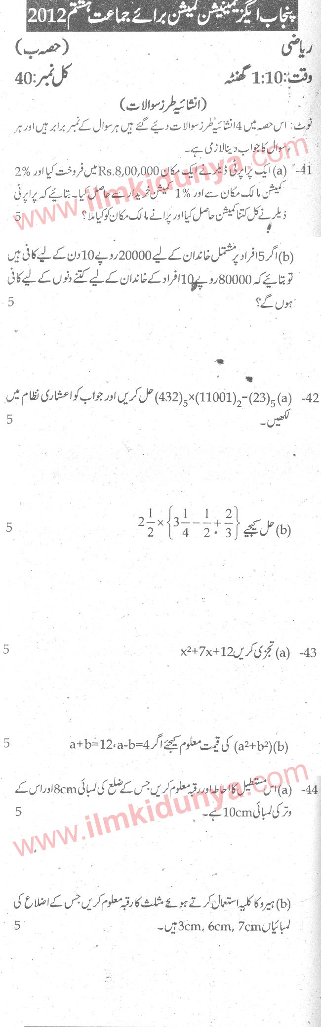
Paper Image

Past Papers

Class Wise Past Papers

Entry Test Past Papers

Competitive Exams Past Papers

Technical Education Exams Past Papers

Punjab Examination Commission Past Papers

Past Papers feedback:

If you want to share some information with other students regarding past papers, you can send your valued feedback to ilmkidunya.com

Is this page helpful?