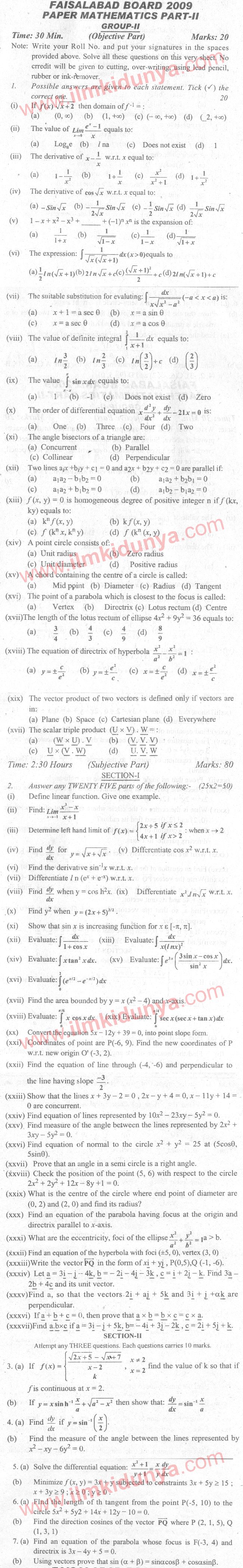
Past Papers 2009 Faisalabad Board FSc Part 2 Mathematics Group 2

Paper Image

Past Papers

Class Wise Past Papers

Entry Test Past Papers

Competitive Exams Past Papers

Technical Education Exams Past Papers

Punjab Examination Commission Past Papers

Past Papers feedback:

If you want to share some information with other students regarding past papers, you can send your valued feedback to ilmkidunya.com

Is this page helpful?

Share your comments & questions here

Guest
  • No comments yet. Be the first to comment!