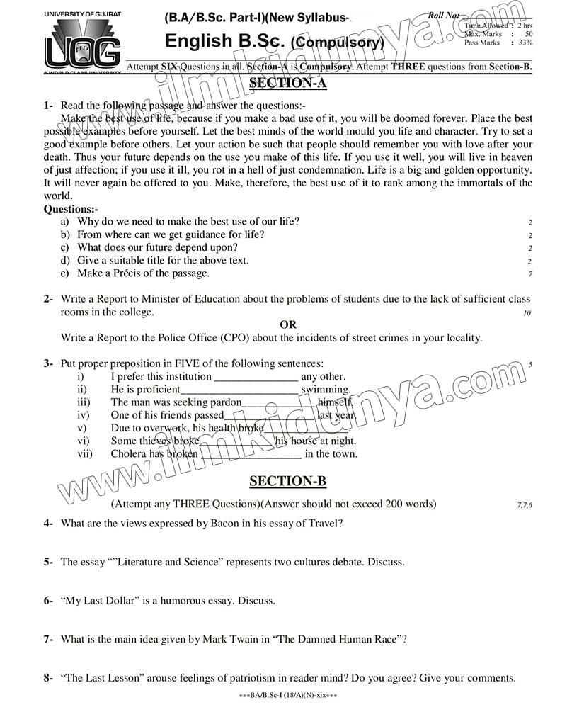
Past Paper BA BSC Part I New Syllabus University Of Gujrat English Compulsory 2018

Paper Image

Past Papers

Class Wise Past Papers

Entry Test Past Papers

Competitive Exams Past Papers

Technical Education Exams Past Papers

Punjab Examination Commission Past Papers

Past Papers feedback:

If you want to share some information with other students regarding past papers, you can send your valued feedback to ilmkidunya.com

Is this page helpful?

Share your comments & questions here

Guest
  • No comments yet. Be the first to comment!