NAT IIP Physical Science Mathematics Preparation Online Test for Pakistani Students

MCQ's Test For NAT II Physical Science Mathematics

Try The MCQ's Test For NAT II Physical Science Mathematics

  • Total Questions15

  • Time Allowed20

NAT II Physical Science Mathematics

00:00
Question # 1

The sum of the series 1+5+9+13+17+21+25+29 is

Question # 2

Question Image
Question # 3

If in isosceles right angled triangle, one side is a then hypotenuse is

Question # 4

Question Image
Question # 5

A farmer possesses 100 hectometers of land and wants to grow corn and wheat. Cultivation of corn requires 3 hours per hectometer while cultivation of wheat requires 2 hours pert hectometer. Working hours cannot exceed 240. If he gets a profit of Rs. 20 per hectometer for corn and Rs. 20 per hectometer for wheat. The profit function for the farmer is

Question # 6

If A = (3, 8) and B = (5, 6), then the distance between A and B is

Question # 7

A vector of magnitude zero is called

Question # 8

Question Image
Question # 9

The set of complex numbers forms a group under the binary operation of

Question # 10

Question Image
Question # 11

Question Image
Question # 12

If Z = (1,2), then Z-1= ?

Question # 13

Question Image
Question # 14

Question Image
Question # 15

If c is a constant number and if f is the function defined by the equation f(x) = c for all values of x, then f is differentiable at every x and f is defined the equation f(x) = _________

Prepare Complete Set Wise NAT II Physical Science Mathematics MCQs Online With Answers


Topic Test

00:00

Top Scorers Of NAT II Physical Science Mathematics MCQ`s Test

  • R
    Rabail Bashir 08 - Jul - 2024 03 Min 11 Sec 14/15
  • L
    Lolo Polo 21 - Jul - 2022 04 Min 30 Sec 12/15
  • M
    Munaza Kalsoom 17 - Feb - 2024 05 Min 20 Sec 12/15
  • A
    Abdullah Shah 12 - Mar - 2024 07 Min 26 Sec 11/15
  • M
    Muhammad Zaraar 26 - Apr - 2021 12 Min 30 Sec 11/15
  • J
    john 13 - Jul - 2021 17 Min 50 Sec 11/15
  • R
    Robina Naz 30 - May - 2022 06 Min 45 Sec 10/15
  • S
    shabir hussaain 14 - Jan - 2021 08 Min 13 Sec 10/15
  • B
    Bisma 09 - Mar - 2019 13 Min 54 Sec 10/15
  • A
    Ali Ahmed 26 - Nov - 2021 19 Min 59 Sec 10/15
  • M
    M.umais 06 - Nov - 2021 02 Min 56 Sec 9/15
  • M
    mishal 16 - Sep - 2023 04 Min 19 Sec 9/15
  • S
    shams 02 - Sep - 2021 07 Min 01 Sec 9/15
  • U
    Unknown 20 - Jul - 2022 10 Min 56 Sec 9/15
  • O
    Osama Shakir 08 - Mar - 2024 12 Min 23 Sec 9/15

NAT-II Mathematics Chapter 0 Important MCQ's

Sr.# Question Answer
1 If a statement S(n) is true for n = 1 and the truth of S(n) for n + K implies the truth of S(n) for S(n) = K + 1, then S(n) true for all
A. All Real numbers
B. All integers
C. Positive integers
D. All complex numbers
2 The length of rectangle is twice as much as its breadth. If the perimeter is 120 cm, the length of the rectangle is
A. 10 cm
B. 20 cm
C. 30 cm
D. 40 cm
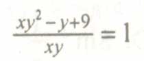
3
Question Image
A. 1
B. 2
C. 3
D. 4
4 Which of the following is the equation of a line with slope 0 and passing through the point (4, 3)
A. X = 4
B. X = -4
C. Y = 3
D. Y = -6
5 A farmer possesses 100 hectometers of land and wants to grow corn and wheat. Cultivation of corn requires 3 hours per hectometer while cultivation of wheat requires 2 hours pert hectometer. Working hours cannot exceed 240. If he gets a profit of Rs. 20 per hectometer for corn and Rs. 20 per hectometer for wheat. The profit function for the farmer is
A. P(x,y) = 20x + 15y
B. P(x,y) = 2x + 3y
C. P(x,y) = x + y
D. P(x,y) = 3x + 2y
6 In which quadrant is the solution of the equation sin x - 1 = 0
A. II quadrants
B. II and III quadrants
C. III and IV quadrants
D. I quadrant
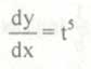
7
Question Image
A. 1/2
B. 3/5
C. 4/5
D. 1
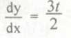
8
Question Image
9 If the angle of a triangle are in the ratio 2:3:7, the triangle is
A. Obtuse
B. Acute
C. Right angle
D. Isosceles
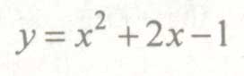
10
Question Image
D. None of these

Test Questions

Is this page helpful?

Share your comments & questions here

Guest
  • No comments yet. Be the first to comment!