ECAT Pre General Science MCQ Test With Answer for Mathematics Chapter 19

MCQ's Test For ECAT Mathematics Chapter 19 Integration

Try The MCQ's Test For ECAT Mathematics Chapter 19 Integration

  • Total Questions30

  • Time Allowed30

ECAT Mathematics Chapter 19 Integration

00:00
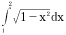
Question # 1

Question Image
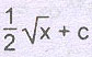
Question # 2

Question Image
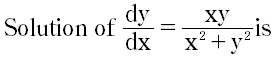
Question # 3

Question Image
Question # 4

Question Image
Question # 5

Question Image
Question # 6

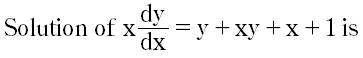
The general solution of the differential equation x dy / dx = 1 + y is:

Question # 7

Question Image
Question # 8

Question Image
Question # 9

The function ø(x) is ananti derivativeof function f (x),x∈Df if

Question # 10

Question Image
Question # 11

∛8.6 is approximately equal to

Question # 12

Archimedes approximate the function by horizontal function and the area under f by the sum of small

Question # 13

The differential equation representing the family of curves y = A cos (x + B), where A, B are parameters, is

Question # 14

The arbitrary constants involving in the solution can be determined by the given conditions. Such conditions are called

Question # 15

Question Image
Question # 16

Question Image
Question # 17

Question Image
Question # 18

Question Image
Question # 19

Question Image
Question # 20

The set of all antiderivaties of f(= ∫f(x)dx) is the

Question # 21

Question Image
Question # 22

An equation in which at least one term contains dy/dx, d2 y /dx2etc, is called.

Question # 23

Question Image
Question # 24

Question Image
Question # 25

Question Image
Question # 26

Question Image
Question # 27

Question Image
Question # 28

Question Image
Question # 29

Question Image
Question # 30

Question Image

Prepare Complete Set Wise ECAT Mathematics Chapter 19 Integration MCQs Online With Answers


Top Scorers Of ECAT Mathematics Chapter 19 Integration MCQ`s Test

  • T
    Talha Abid 08 - Jun - 2021 12 Min 13 Sec 70/120
  • A
    Ayesha 06 - Oct - 2018 06 Min 57 Sec 55/120
  • R
    Rukhsar Maryam 12 - Mar - 2023 15 Min 47 Sec 30/120
  • I
    Israr Hussain 30 - Jun - 2021 10 Min 50 Sec 25/120
  • M
    M AQIB SHABBIR 04 - Jul - 2021 10 Min 50 Sec 0/120
Sr.# Question Answer
1
Question Image
A. X = 100 sinθ
B. X = 10 sinθ
C. X = 100 secθ
D. None of these
2
Question Image
A. Choice 1
B. Choice 2
C. Choice 3
D. Choice 4
3
Question Image
A. Choice 1
B. Choice 2
C. Choice 3
D. Choice 4
4
Question Image
A. cos 2x + c
B. - cos 2x + c
C. tan 2x + c
D. cot 2x + c
5
Question Image
A. - cot 4x + c
B. cot 4x + c
C. tan 4x + c
D. - tan 4x + c
6
Question Image
A. a cosec(ax + b) + c
B. - a cosec(ax + b) + c
C. Choice 3
D. Choice 4
7 ∫Sec2 (ax + b) dx is equal to:
A. tan2 (ax + b)
B. 1/a tan2 (ax + b)
C. 1/atan (ax +b)
D. tan (ax + b)
8
Question Image
A. Choice 1
B. Choice 2
C. Choice 3
D. Choice 4
9
Question Image
A. 2x - 3x + c
B. Choice 2
C. x2- 3x + c
D. Choice 4
10
Question Image
A. π
B. π/6
C. -π/2
D. 2π
11 The differential equation representing the family of curves y = A cos (x + B), where A, B are parameters, is
A. Choice 1
B. Choice 2
C. Choice 3
D. Choice 4
12
Question Image
A. Choice 1
B. Choice 2
C. Choice 3
D. Choice 4
13
Question Image
A. Choice 1
B. Choice 2
C. Choice 3
D. Choice 4
14 The approximate increase in the area of a circular disc if its diameter increased form 44cm to 44.4cm is
A. 0.4cm
B. 8.8πcm
C. 17.6 πcm
D. 35.2πcm
15
Question Image
A. Choice 1
B. Choice 2
C. Choice 3
D. Choice 4
16
Question Image
A. Choice 1
B. Choice 2
C. Choice 3
D. Choice 4
17
Question Image
A. Choice 1
B. Choice 2
C. Choice 3
D. Choice 4
18
Question Image
A. sec 5x + c
B. - sec 5x + c
C. Choice 3
D. Choice 4
19
Question Image
A. Choice 1
B. Choice 2
C. Choice 3
D. Choice 4
20
Question Image
A. Choice 1
B. In(x2- x + 1)4+ c
C. Choice 3
D. Choice 4
21
Question Image
A. Choice 1
B. Choice 2
C. Choice 3
D. Choice 4
22
Question Image
A. Choice 1
B. Choice 2
C. Choice 3
D. Choice 4
23 Which of the following integrals can be evaluated
A. Choice 1
B. Choice 2
C. Choice 3
D. Choice 4
24
Question Image
A. Choice 1
B. Choice 2
C. Choice 3
D. Choice 4
25
Question Image
A. Choice 1
B. Choice 2
C. Choice 3
D. Choice 4
26 An integral of 1/x dx is:
A. 1/x2
B. 1/-x2
C. 1/lnx
D. lnx
27
Question Image
A. Choice 1
B. Choice 2
C. Choice 3
D. Choice 4
28
Question Image
A. Choice 1
B. Choice 2
C. Choice 3
D. Choice 4
29
Question Image
A. Choice 1
B. Choice 2
C. Choice 3
D. Choice 4
30
Question Image
A. Choice 1
B. axIn a + c
C. ax+ c
D. x ax+ c

Test Questions

Is this page helpful?