ECAT Pre General Science MCQ Test With Answer for Mathematics Chapter 15

MCQ's Test For ECAT Mathematics Chapter 15 Inverse Trigonometric Functions

Try The MCQ's Test For ECAT Mathematics Chapter 15 Inverse Trigonometric Functions

  • Total Questions30

  • Time Allowed30

ECAT Mathematics Chapter 15 Inverse Trigonometric Functions

00:00
Question # 1

sin[cot-1{cos(tan-1x)}]=

Question # 2

Question Image
Question # 3

Question Image
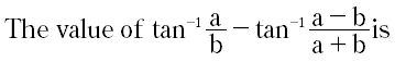
Question # 4

Question Image
Question # 5

Question Image
Question # 6

The exact value of cos-1 (0) is

Question # 7

Question Image
Question # 8

Question Image
Question # 9

The value of cos(cos-1 1/2) is

Question # 10

sn (2sin-10.8)

Question # 11

The solution set of the equation tan-1x - cot-1x = cos-1(2 - x) is

Question # 12

The domain of the function y = sin x , is

Question # 13

Cos-1 12/13 =

Question # 14

The exact degree value of the function sin-1( -√3/2) is

Question # 15

The range of the principle cot function is

Question # 16

If tan-13 + tan-1x = tan-18, then x=

Question # 17

Question Image
Question # 18

Question Image
Question # 19

Cos-1(x)=

Question # 20

Sin-1(-x)=

Question # 21

Question Image
Question # 22

The exact value of cos-1 (-1) + cos -1 (1) =

Question # 23

Question Image
Question # 24

The domain of the principle cos function is

Question # 25

tan-1x > cot-1x holds for

Question # 26

sin-1[-1/2] = ______

Question # 27

The Principal value of sin-1 (-1/1/2)

Question # 28

Cos (cos4π/3)=

Question # 29

If cos-1p + cos-1q + cos-1r =πthen p2+ q2+ r2+ 2pqr is equal to

Question # 30

Question Image

Prepare Complete Set Wise ECAT Mathematics Chapter 15 Inverse Trigonometric Functions MCQs Online With Answers


Top Scorers Of ECAT Mathematics Chapter 15 Inverse Trigonometric Functions MCQ`s Test

  • S
    SHOAIB AKHTAR 02 - May - 2021 18 Min 44 Sec 60/120
  • U
    Usama Asad 31 - May - 2018 05 Min 06 Sec 0/120
Sr. # Question Answer
1
Question Image
2
Question Image
3 Sin-1(-x)=

A. Cos-11/x

B. - Sin-1X

C.Cot-1X

D. None of these

4
Question Image
5 x = sin-1 3, then the value of sin x is

A. √(3/2)

B. 3

C.Not possible

D. -1

6 What is the value of cos (cos-1 2) ?

A. √2

B. 1/2

C.undefine

D. 0

7 If cos (2 sin-1 x) = 1/9 , then what is the value of x?

A. 1/3

B. -2/3

C.2/3

D. 2/3 , -2/3

8 Ifπ≤x≤2π, then cos-1 (cos x)=

A. cos x

B. -x

C.1/x

D. -x

9 If tan-13 + tan-1x = tan-18, then x=

A. 5

B. 1/5

C.5/14

D. 14/5

10 If cos-1p + cos-1q + cos-1r =πthen p2+ q2+ r2+ 2pqr is equal to

A. 3

B. 1

C.2

D. -1

11 The range of the principle cot function is
12
Question Image
13
Question Image

A. 2

B. 5

C.7

D. None of these

14 Cos-1 12/13 =

A. tan-1 3/5

B. cot-1 13/12

C.Sec-1 13/12

D. sin-1 5/13

15
Question Image

A. π/ 4

B. π/ 6

C.π/ 3

D. / 3

16 tan-1x > cot-1x holds for

A. x > 1

B. x < 1

C.x = 1

D. All values of x

17 The range of the principal sine function is
18
Question Image
19 Cos-1(x)=

A. cos x

B. x

C.tan-1(-x)

D. Sec-1 (1/x)

20
Question Image
21 The Principal value of sin-1 (-1/1/2)

A.

π/2

B.

-π/2

C.

π

D.

22 tan-1(1/4) + tan-1(2/9) is equal to

A. 1/2 cos-1(3/5)

B. 1/2 sin-1(3/5)

C.1/2 tan-1(3/5)

D. tan-11/2

23 sin -1(sin2π/3) =

A. π/2

B. 2π/3

C.-3π/2

D. π/3

24
Question Image

A. 1

B. 7

C.4

D. None of these

25
Question Image
26
Question Image

A. Cos 2x = sin 4y

B. Cos 4y = cos 2x

C.Cos 3y = sin 4x

D. None of these

27
Question Image
28 Cos (cos4π/3)=

A. π/2

B. π/3

C.2π/3

D. -π/3

29
Question Image
30
Question Image

A. 0

B. -1

C.1/2

D. 1

Test Questions

Is this page helpful?