9th Class Mathematics Chapter 4 Urdu Medium Online MCQ Test With Answer

MCQ's Test For Chapter 4 "Factorization and Algebraic Manipulation"

Try The MCQ's Test For Chapter 4 "Factorization and Algebraic Manipulation"

  • Total Questions15

  • Time Allowed20

Factorization and Algebraic Manipulation

00:00
Question # 1

تین رقوم کے مجموعے یا فرق پر مشتمل جملہ س کے تین ارکان یک رقمی مقدار راصم ہوں.... مقدار اصم کہلاتا ہے.

Question # 2

Question Image
Question # 3

Question Image
Question # 4

Question Image
Question # 5

Question Image
Question # 6

Question Image
Question # 7

Question Image
Question # 8

Question Image
Question # 9

جب کسی دو مقاد پر اصم کا حاصل ضرب ایک ناط عدد ہو تو ہر ایک مقدار اصم کو دوسرے کا ناطق ...........کہا جاتا ہے.

Question # 10

حسابیات کے تھمیم اطلاق کو .............کہتے ہیں.

Question # 11

......... سے مراد ایسا جملہ ہے جو کئی رقموں پر مشتمل ہے.

Question # 12

Question Image
Question # 13

Question Image
Question # 14

درجہ دوم کے دو رقمی مقفا پراصم جو ایک ہی مقداروں پر مشتمل ہوں اور اجن کے درمیان علامات مختلف ہوں اور دونوں رقموں میں کم از کم ایک رقم مقداراصم ہو.............مقادرصم کہلاتی ہے.

Question # 15

ایک متغیر x میں کثیر رقمی جملے کا درجہ x کا سب سے بڑا ........ ہوتا ہے.

Prepare Complete Set Wise Chapter 4 "Factorization and Algebraic Manipulation" MCQs Online With Answers


Topic Test

00:00

Top Scorers Of Chapter 4 "Factorization and Algebraic Manipulation" MCQ`s Test

  • A
    Aasiya anjum 13 - Dec - 2023 00 Min 08 Sec 15/15
  • U
    Unknown 17 - Oct - 2025 00 Min 42 Sec 15/15
  • E
    Educational Orion 31 - Mar - 2024 01 Min 13 Sec 15/15
  • J
    J4 U 17 - Oct - 2025 01 Min 35 Sec 15/15
  • A
    abeeha asghar 28 - Dec - 2023 03 Min 53 Sec 13/15
  • H
    Hassaan Rohan 14 - Dec - 2023 02 Min 56 Sec 12/15
  • S
    Saim 17 - Dec - 2023 07 Min 00 Sec 12/15
  • I
    Iram 09 - Jan - 2024 03 Min 07 Sec 11/15
  • H
    Huma Maqsood 30 - Jan - 2024 03 Min 18 Sec 11/15
  • A
    Asif Gift 01 - Nov - 2023 03 Min 38 Sec 10/15
  • U
    umer jalal 19 - Jan - 2024 03 Min 47 Sec 10/15
  • S
    Santosh Dhano 21 - Nov - 2023 03 Min 57 Sec 10/15
  • S
    SEO Valley 20 - Feb - 2024 16 Min 19 Sec 10/15
  • T
    Tahseen Fatima 21 - Jan - 2024 02 Min 15 Sec 9/15
  • W
    Waris Ali 19 - Nov - 2023 02 Min 28 Sec 9/15

9th Class (Urdu Medium) Maths Chapter 4 Important MCQ's

Sr.# Question Answer
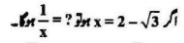
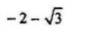
1
Question Image
A. -1
B. -11
C. 3/5-
D. 6
2 ایک متغیر x میں کثیر رقمی جملے کا درجہ x کا سب سے بڑا ........ ہوتا ہے.
A. اساس
B. عددی سر
C. قوت نما
D. اس میں سے کوئی نہیں
3
Question Image
4 ......... سے مراد ایسا جملہ ہے جو کئی رقموں پر مشتمل ہے.
A. یک رقمی
B. دو رقمی
C. سہ رقمی
D. کثیر رقمی
5
Question Image
A. 1
B. 2
C. 3
D. 4
6 جب کسی دو مقاد پر اصم کا حاصل ضرب ایک ناط عدد ہو تو ہر ایک مقدار اصم کو دوسرے کا ناطق ...........کہا جاتا ہے.
A. حاصل ضرب
B. جزو ضربی
C. ضربی معکوس
D. قوت نما
7 تین رقوم کے مجموعے یا فرق پر مشتمل جملہ س کے تین ارکان یک رقمی مقدار راصم ہوں.... مقدار اصم کہلاتا ہے.
A. یک رقمی
B. دو رقمی
C. سہ رقمی
D. چار رقمی
8
Question Image
A. عددی سر
B. قوت نما
C. شمارکنندہ
D. مخرج
9 حسابیات کے تھمیم اطلاق کو .............کہتے ہیں.
A. فزکس
B. جیومیٹری
C. الجبرا
D. ریاضی
10
Question Image
A. ناطق
B. غیر ناطق
C. نادر
D. غیر نادر

Test Questions

Is this page helpful?